研究紹介
遷移ランダム行列によるパイ中間子崩壊定数の決定
~ゲージ理論と量子カオスのインタープレイ~
西垣 真祐
物質を構成する陽子や中性子,およびそれらを原子核内で結びつけるパイ中間子などハドロンの質量(や結合定数)は,どのようにして決まるのでしょうか。 この根源的な問いに対して素粒子の標準模型は次のように答えます: もともと無質量のクォークはヒッグス(2013年に発見が確定)場の凝縮により小さなカレント質量を獲得し, 次にグルーオンが媒介するクォーク間の強い相互作用(量子色力学,QCD)によりカイラル対称性を破るクォーク・反クォーク対の凝縮が生じてカレント質量の100倍程度の構成子質量をハドロン中で持つと。 南部陽一郎博士らにより解明されたこの2段階の対称性の自発的破れによる質量発生機構において後段のQCD部分が鍵を握っており, 私たちの体重の99%以上は自由パラメータとして天が賦与したものではなく強い相互作用によりダイナミカルに生じているのです。 ただし電磁気学の非可換ゲージ群への拡張であるQCDは反誘電性をもち,現在の宇宙程度の低いエネルギー領域では強結合となるため, 凝縮など真空の構造を分析してハドロン質量や結合定数を決定するには電磁気学で有効な摂動展開は使えません。 この問題を解決するため,時空を細かいメッシュ(格子)に分けた上でのQCD(図1)の数値シミュレーションに基づく研究が進んでいます。これは2012年に稼働した超並列計算機「京」の建設目的の一つでもあります。
図1 格子ゲージ理論。 格子点上にクォーク場,辺上にグルーオン場を離散的に配置することでゲージ理論を構成的に定義し,計算機シミュレーションを可能とする。 四辺形(プラケット)上のグルーオン場の積はエネルギー密度を表す。
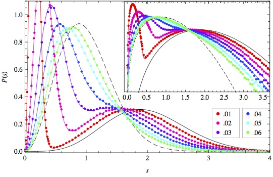
一 方,身の回りの物理である固体物性や,時間発展が予測不能な力学系(カオス)の分野では,ランダム行列理論という乱雑さの中に存する不思議な普遍性の存在 が興味を集めています。本研究室では,格子ゲージ理論にランダム行列理論を適用して物理量 を引き出す手法に取り組み,その結果,身の回りの物理である物性物理と,宇宙の成り立ちの根源にある素粒子物理が,予期しない形の類似性を持っていること を明らかにしてきました。量子カオス系や乱雑さを含む統計力学系を主たる対象とするランダム行列理論と素粒子物理のゲージ理論は一見すると互いに独立な研 究分野に思えますが, 実はランダム行列の普遍性の根幹はカイラル対称性を含む「レプリカ対称性の自発的破れ」にあり, このためにパイ中間子の有効理論はある極限でランダム行列と厳密に一致するのです。 とくに本研究室は最近, 不純物を含む金属に磁束を印加したときに起こるスペクトル遷移と有限密度ゲージ理論における実表現ディラック演算子準位の遷移が 実は同一の物理現象であることを指摘し, この等価性に基づいて小サイズの格子シミュレーションからでもパイ中間子の崩壊定数を遷移ランダム行列へのフィットにより精密に決定できることを示しまし た(図2)。 ここで開発した手法は素粒子物理と固体物性にわたって広い適用範囲を持っており, 大統一理論の候補である超対称ゲージ理論が予言するグルイーノの凝縮や崩壊定数の決定にも有効と期待されます。また今後本研究室は,宇宙初期や中性子星な どの超高温・高密度環境におけるQCDを「京」での大規模シミュレーションにより解明するプロジェクトにもあわせて取り組んでいきます。



図2 虚数バリオン化学ポテンシャル下における格子SU(2)ディラック準位統計の遷移。 左・右はクォークおよびグルイーノに対するディラック準位であり,上段は微視的準位密度,下段は準位間隔分布。 遷移ランダム行列の解析的結果(実線)は化学ポテンシャルの変化に応じて数値データ(点)を完璧にフィットし, この応答からパイ中間子の崩壊定数が精密決定される。

